
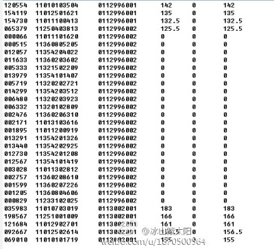
人民网北京5月21日电 今日,有网民为“冰山筱太阳”的新浪微博用户爆料称,2014云南省公务员考试成绩今天公布,但是发现西山区税务局岗,岗位代码:0112996002,只有一个125.5分的第一名成绩,其余22人成绩全部为零分。针对此,云南省昆明党务政务信息公开平台官方微博回应表示,要求云南省昆明市西山区政府调查核实情况,并尽快回复网友。

“冰山筱太阳”微博截图
来源:人民网
编辑:刘仁军

人民网北京5月21日电 今日,有网民为“冰山筱太阳”的新浪微博用户爆料称,2014云南省公务员考试成绩今天公布,但是发现西山区税务局岗,岗位代码:0112996002,只有一个125.5分的第一名成绩,其余22人成绩全部为零分。针对此,云南省昆明党务政务信息公开平台官方微博回应表示,要求云南省昆明市西山区政府调查核实情况,并尽快回复网友。

“冰山筱太阳”微博截图
来源:人民网
编辑:刘仁军