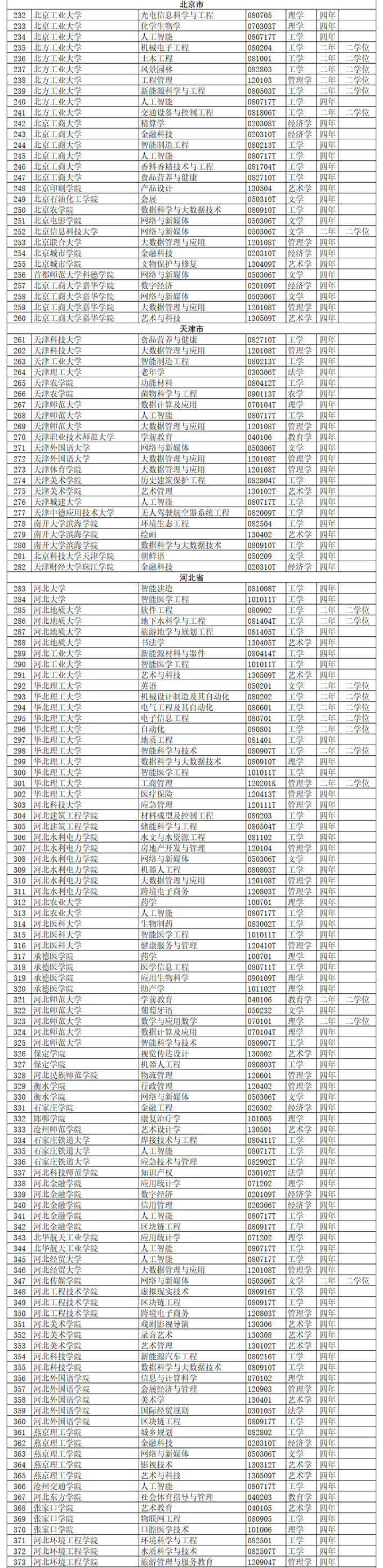
近期,教育部下发通知,对2020年度普通高等学校本科专业备案和审批结果予以公布。其中,新增备案本科专业超过2000个。
教育部介绍,根据《普通高等学校本科专业设置管理规定》(教高〔2012〕9号),该部组织开展了2020年度普通高等学校本科专业设置和调整工作。经申报、公示、审核等程序,对各地各高校向教育部申请备案的专业予以备案;在以上工作基础上,根据高等学校专业设置与教学指导委员会评议结果,确定了同意设置的国家控制布点专业和尚未列入专业目录的新专业名单。



















来源:澎湃新闻
编辑:廖浩宇
近期,教育部下发通知,对2020年度普通高等学校本科专业备案和审批结果予以公布。其中,新增备案本科专业超过2000个。
教育部介绍,根据《普通高等学校本科专业设置管理规定》(教高〔2012〕9号),该部组织开展了2020年度普通高等学校本科专业设置和调整工作。经申报、公示、审核等程序,对各地各高校向教育部申请备案的专业予以备案;在以上工作基础上,根据高等学校专业设置与教学指导委员会评议结果,确定了同意设置的国家控制布点专业和尚未列入专业目录的新专业名单。



















来源:澎湃新闻
编辑:廖浩宇